Ocena wątku:
  • 0 głosów - średnia: 0
  • 1
  • 2
  • 3
  • 4
  • 5
Balun Prądowy 1:1 - Jak prawidłowo zbudować ?
#31
(26-02-2012, 22:59)SP3SWJ napisał(a): na "alledrogo" i w sklepach mozna kupic takie rdzenie dławiki zapinane na kabel... mozna tego duża torbę... i pozakładać na kabel co kilka cm....

Lepiej nie co kilka, tylko razem.
MAc

Odpowiedz
#32
Rainbow 
Koleżanki i Koledzy,

Ostatnio zajęcia zawodowe oraz domowe nie pozwoliły na hobby, ale... znalazłem trochę czasu i wróciłem ku utrapieniu jednych i uciesze drugich Big Grin

Krótkie podsumowanie.

Balun prądowy służy do dopasowania niesymetrycznej linii zasilającej 50 Ohmów (kabel współosiowy) do symetrycznej anteny typu dipol.

Balun prądowy służy do dławienia prądu asymetrii, który płynie po powierzchni oplotu kabla współosiowego; jest to tzw. efekt naskórkowości występujący dla prądu wysokiej częstotliwości. Prąd asymetrii powoduje zmianę parametrów całego systemu antenowego. Po prostu z anteny robi się "coś" co nie przypomina anteny i generuje zakłócenia TVI. Można również zaobserwować podwyższony SWR, zmianę impedancji etc.

Balun prądowy wykonuje się zazwyczaj w formie cewki nawiniętej dwoma drutami jednocześnie (bifilarnie). Indukcyjność tak wykonanej cewki zależy od częstotliwości pracy anteny oraz rdzenia (bądź jego braku) na którym nawijany jest balun.

Balun może być powietrzny (choke balun) lub nawinięty na rdzeniu ferromagnetycznym.

Aby balun dobrze spełniał swoją funkcję jego reaktancja powinna być 10x większa od impedancji linii zasilającej czyli 500 Ohmów (reaktancja indukcyjna).

Warto wiedzieć, że nawinięcie zbyt dużej liczby zwojów może spowodować powstanie rezonansów własnych baluna. Pojemności międzyzwojowe wraz z fragmentami cewki baluna mogą tworzyć dodatkowe i niepożądane obwody rezonansowe. Ponadto duża pojemności międzyzwojowa wpływa na pogorszenie parametrów baluna dla wyższych częstotliwości. Widać to na rysunku pokazującym parametry baluna wykonanego przy pomocy kabla RG-316 i rdzenia Amidon FT-140-43 - "białego".

Nawinięcie zbyt małej liczby zwojów oznacza brak skutecznego tłumienia prądu asymetrii. Reasumując. Potrzebna jest równowaga i umiar Smile Jak w życiu!

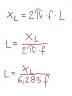
Wzory:

[Obrazek: attachment.php?thumbnail=3909]

Xl[reaktancja]=2*PI*f[częstotliwość]*L[indukcyjność]

po przekształceniu

L[uH]=Xl[OHm] / (6,283*f[MHz])

Przykładowo Indukcyjność dla częstotliwości 3,5MHz

L[uH]=500[OHm] / (6,283*3,5[MHz])
Indukcyjność L=22,73uH

Ja zawsze biorę małą zakładkę i docelowo dla baluna 3,5MHz przyjmuje okrągłe 25uH.

Przy okazji balun powinien być lekki, wytrzymały i odporny na warunki atmosferyczne.


ZPT czyli... Wink

... zajęcia praktyczno techniczne

W poprzednich postach przedstawiłem "biały" balun nawinięty dobrym kablem RG-316 na rdzeniu Amidon FT140-43.

[Obrazek: attachment.php?thumbnail=3910]

Zmierzone parametry nie zadowoliły mnie. Podejrzewałem, że spory wpływ na parametry ma bałagan przy gnieździe UC-1 (SO 239). Usunąłem niezwykłą konstrukcję z drutów, ale pomiary nie wykazały istotnej poprawy.

[Obrazek: attachment.php?thumbnail=3911]

Zatem "białego" odłożyłem na półkę do przeróbki w późniejszym czasie i wziąłem się za balun "idealny" ;-)


"Psucie ideału"

Balun idealny chyba jednak nie był idealny ponieważ współczynnik R.L. (Return Loss *1 - straty odbiciowe - patrz na koniec) cały czas utrzymywał się na poziomie około -30dB *2. To jest ta granatowa linia pozioma.

[Obrazek: attachment.php?thumbnail=3913]

[Obrazek: attachment.php?thumbnail=3912]

Co robić ??? Pojechałem na wolumen i kupiłem drut nawojowy o średnicy 1,1 mm (taki akurat mieli). Odciąłem dwa odcinki po 40cm po czym włożyłem oba do rurki termokurczliwej. Sprawdziłem taką linię przy pomocy miniMaxa i sztucznego obciążenia firmy Radiall. Parametry takiej linii były dobre i po odcięciu kilku centymetrów i odwinięciu dwóch zwojów udało się uzyskać prawie ideał Wink Docelową cewkę widać na zdjęciu poniżej.

Następnym krokiem było nawiniecie tak przygotowanej linii na rdzeń ferrytowy (nie znam jego parametrów, ale o tym dalej).

[Obrazek: attachment.php?thumbnail=3914]

Po kilku próbach udało się uzyskać bardzo przyzwoite parametry. Zresztą oceńcie sami.

[Obrazek: attachment.php?thumbnail=3915]

Wszystko dobrze, ale... pozostało jeszcze zamontowanie cewki w obudowie. I tu można zaobserwować ciekawe zależności.

Rdzeń zamontowałem w obudowie z rury kanalizacyjnej.

[Obrazek: attachment.php?thumbnail=3916]

[Obrazek: attachment.php?thumbnail=3917]

Dolutowałem krótki odcinek kabla RG-316, który umożliwił prawidłowe zamontowanie gniazda antenowego.

Oto pomiary zmontowanego baluna z podłączonym fabrycznym sztucznym obciążeniem.

[Obrazek: attachment.php?thumbnail=3918]

Widać gołym okiem, że długość... Big Grin połączeń wewnątrz ma znaczenie. Trzeba dbać o jak najkrótsze połączenia w balunie.

Na koniec wykonałem małą próbę. Zwarłem wyjście baluna (zaczep do anteny, żyła gorąca) z wejściem baluna (oplot przewodu, przed cewką). Pomiar widać poniżej.

[Obrazek: attachment.php?thumbnail=3919]

I to byłoby na tyle Big Grin

Jeszcze tytułem wyjaśnienia dodam, że przerabiałem fabryczny balun, którego zmierzone parametry predysponowały go do pracy na paśmie 160m lub maksimum 80m. Na balunie był napis: Power 300W.

[Obrazek: attachment.php?thumbnail=3920]

Moim zdaniem balun spokojnie wytrzyma 100W. Przy "potraktowaniu" mocą 50W rdzeń nawet się nie zagrzał. Sprawdziłem miernikiem z pomiarem temperatury i sondą termiczną.

W następnym "odcinku" pokażę przeróbkę mojego baluna, który wykonałem na potrzeby dwóch anten Inverted V.

[Obrazek: attachment.php?thumbnail=3933]

[Obrazek: attachment.php?thumbnail=3934]


Dziękuję wszystkim za cenne uwagi oraz za to, że poświęcili trochę swojego czasu na dyskusję.

Dziękuję za uwagę i za usłyszenie (przeczytanie). Jeżeli koledzy zauważyli błędy lub też mają coś do dodania to zapraszam Smile

Robert SQ5STZ




*1 Oprogramowanie do miernika miniMAX parametr R.L. pokazuje w dB dodatnich. Z tego co mi wiadomo zazwyczaj Return Loss wyraża się w ujemnych czyli -dB lub -dBm. Jeżeli R.L. wynosi 0dB to moc nie dociera do obciążenia. Jeżeli R.L. dąży do -nieskończoności do cała moc sygnału odkłada się na odbiorniku.

*2 Return Loss - straty odbiciowe
Parametr ten określa stosunek mocy sygnału wprowadzonego do toru transmisyjnego do mocy sygnału odbitego, który powstaje na skutek niedopasowania impedancji toru transmisyjnego. Sygnał ten może być źródłem zakłóceń dla sygnału użytecznego, co jest bardzo istotne w przypadku transmisji w dwóch kierunkach w tym samym torze transmisyjnym. Tor transmisyjny zbudowany z kabla miedzianego o konstrukcji skrętki nie posiada jednorodnej wartości impedancji. Każde zagięcie kabla, przesuniecie splotu par, rozciągnięcie kabla powoduje, że zmienia się jego impedancja. Poza tym impedancja kabla zależy od częstotliwości transmitowanych sygnałów.
Źródło: http://www.tti.pl/strona.php?zakladkaID=1&&stronaID=225
* Moje miejsce w sieci www.sq5stz.info
Odpowiedz
#33
Rainbow 
Koleżanki i Koledzy,

Ostatnio zajęcia zawodowe oraz domowe nie pozwoliły na hobby, ale... znalazłem trochę czasu i wróciłem ku utrapieniu jednych i uciesze drugich Big Grin

Krótkie podsumowanie.

Balun prądowy służy do dopasowania niesymetrycznej linii zasilającej 50 Ohmów (kabel współosiowy) do symetrycznej anteny typu dipol.

Balun prądowy służy do dławienia prądu asymetrii, który płynie po powierzchni oplotu kabla współosiowego; jest to tzw. efekt naskórkowości występujący dla prądu wysokiej częstotliwości. Prąd asymetrii powoduje zmianę parametrów całego systemu antenowego. Po prostu z anteny robi się "coś" co nie przypomina anteny i generuje zakłócenia TVI. Można również zaobserwować podwyższony SWR, zmianę impedancji etc.

Balun prądowy wykonuje się zazwyczaj w formie cewki nawiniętej dwoma drutami jednocześnie (bifilarnie). Indukcyjność tak wykonanej cewki zależy od częstotliwości pracy anteny oraz rdzenia (bądź jego braku) na którym nawijany jest balun.

Balun może być powietrzny (choke balun) lub nawinięty na rdzeniu ferromagnetycznym.

Aby balun dobrze spełniał swoją funkcję jego reaktancja powinna być 10x większa od impedancji linii zasilającej czyli 500 Ohmów (reaktancja indukcyjna).

Warto wiedzieć, że nawinięcie zbyt dużej liczby zwojów może spowodować powstanie rezonansów własnych baluna. Pojemności międzyzwojowe wraz z fragmentami cewki baluna mogą tworzyć dodatkowe i niepożądane obwody rezonansowe. Ponadto duża pojemności międzyzwojowa wpływa na pogorszenie parametrów baluna dla wyższych częstotliwości. Widać to na rysunku pokazującym parametry baluna wykonanego przy pomocy kabla RG-316 i rdzenia Amidon FT-140-43 - "białego".

Nawinięcie zbyt małej liczby zwojów oznacza brak skutecznego tłumienia prądu asymetrii. Reasumując. Potrzebna jest równowaga i umiar Smile Jak w życiu!

Wzory:

   

Xl[reaktancja]=2*PI*f[częstotliwość]*L[indukcyjność]

po przekształceniu

L[uH]=Xl[OHm] / (6,283*f[MHz])

Przykładowo Indukcyjność dla częstotliwości 3,5MHz

L[uH]=500[OHm] / (6,283*3,5[MHz])
Indukcyjność L=22,73uH

Ja zawsze biorę małą zakładkę i docelowo dla baluna 3,5MHz przyjmuje okrągłe 25uH.

Przy okazji balun powinien być lekki, wytrzymały i odporny na warunki atmosferyczne.


ZPT czyli... Wink

... zajęcia praktyczno techniczne

W poprzednich postach przedstawiłem "biały" balun nawinięty dobrym kablem RG-316 na rdzeniu Amidon FT140-43.

   

Zmierzone parametry nie zadowoliły mnie. Podejrzewałem, że spory wpływ na parametry ma bałagan przy gnieździe UC-1 (SO 239). Usunąłem niezwykłą konstrukcję z drutów, ale pomiary nie wykazały istotnej poprawy.

   

Zatem "białego" odłożyłem na półkę do przeróbki w późniejszym czasie i wziąłem się za balun "idealny" ;-)


"Psucie ideału"

Balun idealny chyba jednak nie był idealny ponieważ współczynnik R.L. (Return Loss *1 - straty odbiciowe - patrz na koniec) cały czas utrzymywał się na poziomie około -30dB *2. To jest ta granatowa linia pozioma.

   

   

Co robić ??? Pojechałem na wolumen i kupiłem drut nawojowy o średnicy 1,1 mm (taki akurat mieli). Odciąłem dwa odcinki po 40cm po czym włożyłem oba do rurki termokurczliwej. Sprawdziłem taką linię przy pomocy miniMaxa i sztucznego obciążenia firmy Radiall. Parametry takiej linii były dobre i po odcięciu kilku centymetrów i odwinięciu dwóch zwojów udało się uzyskać prawie ideał Wink Docelową cewkę widać na zdjęciu poniżej.

Następnym krokiem było nawiniecie tak przygotowanej linii na rdzeń ferrytowy (nie znam jego parametrów, ale o tym dalej).

   

Po kilku próbach udało się uzyskać bardzo przyzwoite parametry. Zresztą oceńcie sami.

   

Wszystko dobrze, ale... pozostało jeszcze zamontowanie cewki w obudowie. I tu można zaobserwować ciekawe zależności.

Rdzeń zamontowałem w obudowie z rury kanalizacyjnej.

   

   

Dolutowałem krótki odcinek kabla RG-316, który umożliwił prawidłowe zamontowanie gniazda antenowego.

Oto pomiary zmontowanego baluna z podłączonym fabrycznym sztucznym obciążeniem.

   

Widać gołym okiem, że długość... Big Grin połączeń wewnątrz ma znaczenie. Trzeba dbać o jak najkrótsze połączenia w balunie.

Na koniec wykonałem małą próbę. Zwarłem wyjście baluna (zaczep do anteny, żyła gorąca) z wejściem baluna (oplot przewodu, przed cewką). Pomiar widać poniżej.

   

I to byłoby na tyle Big Grin

Jeszcze tytułem wyjaśnienia dodam, że przerabiałem fabryczny balun, którego zmierzone parametry predysponowały go do pracy na paśmie 160m lub maksimum 80m. Na balunie był napis: Power 300W.

   

Moim zdaniem balun spokojnie wytrzyma 100W. Przy "potraktowaniu" mocą 50W rdzeń nawet się nie zagrzał. Sprawdziłem miernikiem z pomiarem temperatury i sondą termiczną.

W następnym "odcinku" pokażę przeróbkę mojego baluna, który wykonałem na potrzeby dwóch anten Inverted V.

   

   


Dziękuję wszystkim za cenne uwagi oraz za to, że poświęcili trochę swojego czasu na dyskusję.

Dziękuję za uwagę i za usłyszenie (przeczytanie). Jeżeli koledzy zauważyli błędy lub też mają coś do dodania to zapraszam Smile

Robert SQ5STZ




*1 Oprogramowanie do miernika miniMAX parametr R.L. pokazuje w dB dodatnich. Z tego co mi wiadomo zazwyczaj Return Loss wyraża się w ujemnych czyli -dB lub -dBm. Jeżeli R.L. wynosi 0dB to moc nie dociera do obciążenia. Jeżeli R.L. dąży do -nieskończoności do cała moc sygnału odkłada się na odbiorniku.

*2 Return Loss - straty odbiciowe
Parametr ten określa stosunek mocy sygnału wprowadzonego do toru transmisyjnego do mocy sygnału odbitego, który powstaje na skutek niedopasowania impedancji toru transmisyjnego. Sygnał ten może być źródłem zakłóceń dla sygnału użytecznego, co jest bardzo istotne w przypadku transmisji w dwóch kierunkach w tym samym torze transmisyjnym. Tor transmisyjny zbudowany z kabla miedzianego o konstrukcji skrętki nie posiada jednorodnej wartości impedancji. Każde zagięcie kabla, przesuniecie splotu par, rozciągnięcie kabla powoduje, że zmienia się jego impedancja. Poza tym impedancja kabla zależy od częstotliwości transmitowanych sygnałów.
Źródło: http://www.tti.pl/strona.php?zakladkaID=1&&stronaID=225
* Moje miejsce w sieci www.sq5stz.info
Odpowiedz
#34
Nic doadac , nic ujac, Robert gratuluje, chcialbym byc tak "poukladanym" aby ew. swoje "baborki" umiec pokazac i opisac tak konsekwentnie i czytelnie ;-).
+!00 pkt. za zasugerowanie "zrodel" ;-)
No to koledzy pozostaje dzielic sie pomyslami na wykonanie ( obudowy, montaz, etc).
Pozdrawiam
Krzysztof SQ8Z

p.s.
FT140-43 ... piszesz "bialy" ... a kto go pomalowal?????
ten rdzen oryginalnie jest czarny ;-)... jesli bialy to ...odpowiednik? podroba?
czy radosna tworczosc ... ciekawe jak zachowa sie rdzen pomalowany bialym zawieracym tlenki metali lakierem ;-) _. zart ;-).
vy 73!
Odpowiedz
#35
Aha !!!

Zapomniałem dodać w podsumowaniu, że zbudowanie dobrego baluna na całe pasmo KF jest bardzo trudne. Zawsze będzie jakiś kompromis. Wystarczy spojrzeć na pomiary. Balun który opisywałem powinien pracować idealnie w pasmach 160m i 80m. Dla 40m powinno być jeszcze dobrze. Powyżej to będzie moim zdaniem zgniły kompromis i trzeba budować nowy balun Big Grin.

Czytelnicy! Wieźcie pod uwagę fakt, że jestem QRP i staram się być bezkompromisowy w pewnych sprawach. Dla mnie SWR 1.3 jest nie do przyjęcia bo u mnie każdy miliwat jest na wagę złota. Dla stacji o standardowej mocy 100W utrata 2-3 watów to żaden problem. Jak zwykle punkt widzenia zależny jest od punktu siedzenia.

Tak na koniec, tytułem wyjaśnienia: "biały" balun oznacza balun w białym pudełku.

3VCie się
Robert SQ5STZ

P.S.
Krzysiek! Dziękuję za dobre słowo i pobłażanie Wink
* Moje miejsce w sieci www.sq5stz.info
Odpowiedz
#36
Robert, gratuluję rzetelnego i kompleksowego podejścia do tematu wykonania własnego baluna antenowego, bogaty opis i prezentacja uzyskanych wyników.
Nie zawsze jednak dążenie do ideału znajduje praktyczne uzasadnienie, SWR jest klasycznym tego przykładem.

(11-03-2012, 0:41)SQ5STZ napisał(a): ... jestem QRP i staram się być bezkompromisowy w pewnych sprawach. Dla mnie SWR 1.3 jest nie do przyjęcia bo u mnie każdy miliwat jest na wagę złota. Dla stacji o standardowej mocy 100W utrata 2-3 watów to żaden problem.

Fakty i mity (SWR i straty w liniach)

Rola współczynnika SWR w systemach antenowych jest często przesadzona. Walka o wartości SWR < 1.5 nie daje praktycznych korzyści w postaci lepszej słyszalności. Zmiany mocy w antenie o (10..20)% są praktycznie nie zauważalne podczas odbioru.
   

Powyższa tabelka pokazuje sprawność linii w zależności od SWRa i strat w linii. Dla dobrej linii koncentrycznej (a=1dB) różnica pomiędzy SWR 1 a 1,5 wynosi 1.2%, czyli do pominięcia. Polecam lekturę całego tekstu.

Nawet jeśli zbudujesz idealny balun z SWR=1 w całym zakresie KF to jeszcze do tego potrzebny jest:
- idealny stopień mocy + LPF, który ma Z=50 w całym zakresie;
- idealne anteny na poszczególne pasma;
- fider zasilający o małych stratach;

Praktycznie i tak największy wpływ na skuteczność Twojej stacji QRP będzie miała budawa anteny i wysokość jej zawieszenia nad ziemią.
Przy sprzęcie własnej roboty w warunkach rzeczywistych trudno jest zapewnić idealne dopasowania poszczególnych elementów dlatego SWR < 1.5 jest jak najbardziej do przyjęcia.




73 Adam
Odpowiedz
#37
(10-03-2012, 16:41)SQ5STZ napisał(a): ....



*1 Oprogramowanie do miernika miniMAX parametr R.L. pokazuje w dB dodatnich. Z tego co mi wiadomo zazwyczaj Return Loss wyraża się w ujemnych czyli -dB lub -dBm. Jeżeli R.L. wynosi 0dB to moc nie dociera do obciążenia. Jeżeli R.L. dąży do -nieskończoności do cała moc sygnału odkłada się na odbiorniku.

... faktycznie różne programu pokazują ze ze znakiem lub bez :-) ... ale tak się zastanawiając.... skoro to jest STRATA - Return Loss... to czy może być np

dług minus 5 złotych :-) ...

więc po zastanowieniu się logicznie pokazywanie RL bez znaku jest bardziej logiczne... Smile to tak troche z przymrużeniem oka...

i chyba jednak zawsze jest pokazywany dB bo jest względem sygnału forward...


Odpowiedz
#38
(12-03-2012, 19:03)SP3SWJ napisał(a): ... faktycznie różne programu pokazują ze ze znakiem lub bez :-) ... ale tak się zastanawiając.... skoro to jest STRATA - Return Loss... to czy może być np

dług minus 5 złotych :-) ...

więc po zastanowieniu się logicznie pokazywanie RL bez znaku jest bardziej logiczne... Smile to tak troche z przymrużeniem oka...

i chyba jednak zawsze jest pokazywany dB bo jest względem sygnału forward...

Cześć :-)

Jarek ja to wiem, ale są wśród nas początkujący, którzy nie do końca wiedzą o co chodzi :-) Ja się absolutnie nie obrażam. Po prostu wszelkie uwagi są mile widziane :-)

Robert





(19-02-2012, 16:27)SP3SWJ napisał(a): zobacz ten "trzeci" drut zwierający gorący z ekranem .... rozwiąże on problem elektrostatyki...
http://www.youtube.com/watch?v=BQ9n0GC8_gw

Jarek, a nie wyjdzie z tego balun napięciowy ???

Robert
* Moje miejsce w sieci www.sq5stz.info
Odpowiedz
#39
Mój sposób wykonania baluna 1:1. Zastosowałem Kabel beldena. Pomiary pokaże jak urochomie NWT - 7


Załączone pliki Miniatury
       
Odpowiedz
#40
Rainbow 
(11-03-2012, 23:08)SP5FCS napisał(a): ... Powyższa tabelka pokazuje sprawność linii w zależności od SWRa i strat w linii. Dla dobrej linii koncentrycznej (a=1dB) różnica pomiędzy SWR 1 a 1,5 wynosi 1.2%, czyli do pominięcia. Polecam lekturę całego tekstu. ...

Adam, dziękuję za ciepłe słowa Smile Ja wiem o tym, że SWR nie jest jedynym kryterium sprawności instalacji antenowej. Zawsze powtarzam, że system jest tak doskonały jak jego najsłabsze ogniwo. Co z tego, że mamy idealną antenę jak podczas nadawania podgrzewamy słabej jakości kabel antenowy. Przykładów można tu podać sporo.

Mam prośbę. Proszę Cię jako osobę utytułowaną, z doświadczeniem również edukacyjnym o proste i jasne (ale na poziomie niższym od uczelnianego) wytłumaczenie dlaczego niski SWR to nie wszystko! Uczepiłem się tego SWRa jak rzep psiego ogona Wink z banalnego powodu. Większość początkujących krótkofalowców w pierwszej kolejności wykonuje lub kupuje miernik SWR/mocy. To jest ich podstawowe narzędzie pomiarowe.

Mam nadzieję, że znajdziesz trochę czasu i podzielisz się z nami swoimi doświadczeniami i wiedzą ?!

Dziękuję za usłyszenie Smile
Robert SQ5STZ
* Moje miejsce w sieci www.sq5stz.info
Odpowiedz


Skocz do:


Użytkownicy przeglądający ten wątek: 1 gości