DzieńDobryWieczór :-)
Ponieważ nie widzę więcej chętnych do pomocy więc...
1. Temat jest trudny i raczej nikt więcej nic nie doda
2. Temat jest nudny jak flaki z olejem
3. Nikomu nic się nie chce
4. Dopiszcie sobie sami
W pierwszym liście tego wątku zamieściłem pomiar kabla RG-316 (o długości 50 cm), który użyłem do zbudowania baluna prądowego 1:1. Wyniki pomiarów tak wykonanego baluna (na rdzeniu FT140-43) były raczej przeciętne. Szczególnie irytował mnie SWR, który dla częstotliwości 28,9 MHz wynosił 1,35. Również impedancja |Z| rosła od 50 Ohmów do niemal 67 Ohmów. Zresztą popatrzcie sobie na wykres; musicie się cofnąć na początek tego wątku - zgubiłem zrzut ekranu z miniMaxa
Uznałem, że trzeba powalczyć o lepsze parametry. Na początku pomyślałem, że RG-316 jest słabej jakości, ale większość odcinków RG-316 jakie mam w swoich zapasach ma bardzo podobne parametry. Zresztą popatrzcie sami.
RG-316 kupiony w pewnej warszawskiej firmie, która rzeźbi...
RG-316 z moich zasobów.
RG-316 w wykonaniu Harbour Industries o oznaczeniu M17/152-00001 Double Shield RG-316
Jak widać ostatni ma trochę lepsze parametry o poprzedników, ale to nie jest to do czego dążę
Musiałem zrewidować moje podejście do tematu. Użycie kabla koncentrycznego miało zapewnić poprawną impedancję linii zasilającej. RG-316 może przenieść sporą moc przy małych rozmiarach. Dodatkowo użycie rdzenia FT114-43 lub FT140-43 pozwala na zbudowanie lekkiego i małego baluna, który wytrzyma nawet 100W mocy ze sporym zapasem. W efekcie tego powstała konstrukcja baluna którą można zobaczyć na zdjęciu poniżej.
Jak widać jest mały błąd - przy gnieździe UC-1 przesadziłem z "okablowaniem" dla oplotu kabla.
Tutaj widać pomiary wykonanego baluna. Uzyskane wyniki dalej mnie nie satysfakcjonowały. Tym bardziej, że np. Robert SP3RAF zbudował baluny o lepszych parametrach - są opisane na jego stronie WWW
http://sp3raf.pl.tl/
Przeglądając sieć znalazłem w kilku miejscach podpowiedź

Ale pomny na wskazówkę Jarka SP3SWJ na początku sprawdziłem przygotowaną "linię" zasilającą.
Dwa równoległe druty DNE o średnicy 0,6 mm - bifilarne.
Oj, jest gorzej niż przy RG-316
Spróbowałem jeszcze raz. Tym razem użyłem drutu DNE 1,5 mm (nie miałem pod ręka 1 mm), ale całość spiąłem rurką termokurczliwą. Praktycy mówią, że jest to dobry sposób na zminimalizowanie indukcyjności i pojemności własnych baluna czy też powstawanie rezonansu własnego baluna.
Znowu użyłem miniMaxa i...
Jeżeli wierzyć pomiarom to uzyskałem balun idealny 
Obliczona impedancja dla częstotliwości 3 MHz wynosi 1365,79 Ohmów (po 682,89 Ohmów dla pojedynczego uzwojenia). Czyli grubo powyżej wymaganych 500 Ohmów.
Użyłem rdzenia, który pasował mi pod względem rozmiarów

(27,5 mm x 15,5 mm x 12,5 mm) o nieznanej przenikalności i częstotliwości pracy. Na rdzeniu zmieściłem 6 zwojów drutu DNE 1,5 mm nawiniętych bifilarnie (2 odcinki po 30 cm).
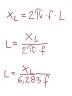
Uzyskana indukcyjność to 36,23 uH dla pojedynczego uzwojenia czyli więcej niż wymagane 25uH.
Teoretycznie uzyskałem balun o bardzo dobrych parametrach.
Koledzy! Czy możecie pochylić się nad tematem i ewentualnie sprawdzić czy gdzieś nie popełniłem błędu ??? Czy mój tok rozumowania jest prawidłowy ???
Bardzo proszę o uwagi.
Dziękuję za usłyszenie

Robert